The 1969 Encyclopedia Britannica entry under "tide:"
[Page1] [Page2] [Page3] [Page4] [Page5] [Page6] [Page7] [Page8]

TIDAL ANALYSIS AND PREDICTION

Tidal Observations-Probably the greatest achievement of tidal study is that it has been made possible to predict to a fair degree of accuracy what the sea level would be at any desired time for a great number of ports. The method used is essentially the following: The constants in the harmonic development of the tide at any place are determined by analysis of a long series of observations at that place. Knowing the values of these constants, it is possible to reconstruct or synthesize the tide for any past, present or future time. This is the harmonic method, and it can be applied to any observable tidal quantity which depends linearly on the tide-generating forces, such as the north or east components of the tidal current (not the speed or the direction of the current), the tidal variations of gravity or atmospheric pressure, etc.

The theoretical problem of the tide in the oceans has not been solved [as of this 1969 Britannica article], and knowledge of the tide at any place depends on some observations having been made at the place. The prediction process may be loosely considered as one of extrapolation of the observations. It is possible that at some future time tidal theory will have been advanced sufficiently that full knowledge of the tide at a given place may be obtained theoretically without the need of previous observations at the place.

Observation of the variable elevation of the sea surface is carried out by means of an instrument called a tide gauge, which usually consists of a float and pulley system so arranged that the height of the float determines the position of a recording pen on a moving chart. The chart is made to move at constant speed by means of a clock mechanism, so that in the result one obtains a graph of the height of sea level as a function of time. Such a graph is called a marigram.

The float is usually suspended within a vertical pipe or well having a small orifice at the bottom in order that the float not be subjected to rapid erratic motions by the ocean waves. A pier piling is an ideal structure on which to fasten the tide well. The diameter of the orifice and the inner cross-sectional area of the tide well determine the frequency response of the gauge. The orifice must be small enough to insure that the ordinary high-frequency ocean waves have greatly reduced amplitude within the well, but large enough so that no appreciable lag be introduced in case of the tide. The frequency response of the tide gauge is usually arranged so that fluctuations of water level taking place over five minutes or longer are quite faithfully reproduced on the marigram, so that the gauge may be useful in recording tsunamis (seismic sea waves) and other such phenomena. The gauge is periodically levelled in with a series of bench marks located nearby on the land in order to compensate for any long-period changes in the height of the gauge as a whole that might be brought about by slow~sinking of the pier on which it is fastened, etc. In this way the gauge is useful for studying extremely long-period phenomena such as the year to year variation of mean sea level.

After the marigram is obtained, the usual procedure is to read off at hourly intervals the height of sea level, and to correct these hourly tidal heights for any variation of datum that may have occurred. Vast quantities of these hourly tidal heights [Adriatic] [Wachapreague, VA] for many seaports are on file at the world's principal tidal agencies.

Analysis of Observations.-If a long enough series of observations has been obtained from a locality, it is possible to determine the harmonic constants for each important tidal constituent with good accuracy. The procedure for finding the harmonic constants for any one constituent will be illustrated in the case of the principal solar series, S1, S2, S4, whose periods are exactly 24, 12 and 6 hr. At instants of time separated by 24 hr. each constituent of this series will have the same value. Let us assume that we have a whole year of data. If we take the average of the 365 hourly tidal heights corresponding to the zero hour of each day, the resulting value will be practically free from the effects of all the other constituents whose periods are not submultiples of 24 hr., because their phases will differ from the zero hour of one day to the zero hour of the next day. Such a constituent will sometimes have positive values on the zero hour, and another day it will have a negative value, and on the average its value will be close to zero. The constituents of the principal solar series, on the other hand. will have the same value, on the average of all the zero hours. as for the zero hour of any given day. This averaging is repeated for each of the 24 hr. of the day and in the result one obtains a complete daily cycle of the combined effect of the constituents S1, S2, S4, practically free of the effects of the other constituents. The amplitudes and epochs of each of the constituents of this series cat now be found by the well-known methods of harmonic analysis.

For constituents other than those of the principal solar series the averaging must be carried out in similar fashion but based on the fundamental period of the constituent under consideration instead of 24 hr. Here there is a slight complication if the data are tabulated in the form of hourly tidal heights, as the times for which the tidal values are needed do not coincide exactly with the times at which the values are tabulated. In this case it is customary to use the tabulated value in closest proximity to the time for which the value is actually needed, and it is seen that the error in time will never exceed 30 min. The small error incurred in this process can be corrected by applying an augmenting factor.

If the series of observations is short it is not possible to separate completely any given constituent from the disturbing effects of the others. However, the harmonic constants of all the constituens can be determined approximately, using the above technique, and a first order correction can then be applied. This process is called elimination.

Inference of Harmonic Constants.--It is impractical to use the method discussed above for a constituent whose amplitude is small as compared to possible errors arising from various sources.  The harmonic constants of such a constituent are usually inferred from those of one of the major constituents having approximately the same period. Such inference is based on the supposition that the ocean's response to a periodic tide-generating force varies continuously and relatively slowly with the period of the force. Hence it is assumed that two equilibrium constituents whose periods are nearly equal will cause tidal constituents in the ocean at any given locality, whose amplitudes are proportional to those of the equilibrium constituents causing them.

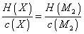
It is best to infer harmonic constants of a given constituent X from those of one of the most important constituents whose period is as close as possible to that of X.  Suppose that the constituent M2 meets these requirements. If H represents the actual amplitude of the constituents and c their constituent coefficient (which are proportional to the amplitudes of the equilibrium constituents), the relationship

is used to relate the amplitudes of X and M2. The epochs (intervals by which the oceanic constituents lag behind their equilibrium counterparts) can be set equal, to a first approximation, while a more refined method of estimating the epoch of constituent X is given in Special Publication 98, U.S. coast and geodetic survey. The constituent coefficients have been precisely determined from astronomic observations, and if the amplitude and epoch Of M2 have been determined from tidal observations, the amplitude and epoch of X can be calculated from the above relationships. The validity of the above relations can be checked by also evaluating the constants of X by conventional means, and it is usually found that the inference method gives fair results if the periods of the two constituents are nearly equal. It should be emphasized that the inference method can never be used to relate the constants of constituents belonging to different species.

Prediction: Tide Tables.--For many purposes it is of great importance to know in advance the times and heights of high waterat a particular place on a particular day. Consequently governments and harbour authorities publish, a year or so in advance, tables giving such information for all the principal ports of the world. In a few cases tables are similarly published giving the height of water above some datum at every hour of the year, while for a certain number of navigable channels tables of the times of slack water are also issued.

[Isle of Mann]
[Savannah River Ent., Georgia]
[Land Information New Zealand Hydrographic Information]
[Homer, Alaska]

The standard method of tidal prediction is the harmonic method based on the idea of harmonic constituents, and the necessary information for any particular place is provided by the process of analysis discussed above. The only theoretical results which are utilized in tidal prediction are (1) the decomposition of the entire tide-generating force as the sum of a number of harmonic equilibrium constituents; and (2) the linearity of the ocean tide. Thus, the periods of the constituents are obtained from the observed motions of earth, moon and sun, while their amplitudes and epochs are obtained from tidal observation: tidal prediction is largely an empirical science.

cf http://books.nap.edu/books/ARC000033/html/40.html
http://books.nap.edu/books/ARC000033/html/related.html

The process of harmonic prediction consists of the calculation of the value of each harmonic constituent for a given time, and then the addition of the values obtained for all the constituents. When this is done for every hour of a year, the computational task becomes enormous, and to obviate this, special computing machines, called tide-predicting machines, have been constructed. Those in use at mid-20th century were of the analogue type and usually consisted of a series of gears or pulleys by which means the analogue addition of the constituents could be carried out. The amplitude and epoch of each constituent could be adjusted into the machine so that it could be used for any location and for any tidal quantity. Of course, only that part of the rise and fall of the sea surface related to astronomical quantities can be predicted, and hence any individual prediction is liable to differ considerably from the actual occurrence, as will be seen below.